Beispiel : Arbeitsgruppen und Akten prüfen

info-service45009016.jpg
bearbeiten
bearbeiten
info-service45009013.gif info-service45001016.jpg
prüfen
prüfen
Akten verteilen
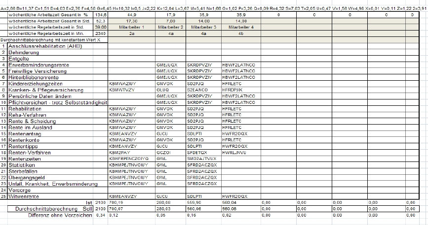
Die Eingabefelder "Ebene / Verg. Gr." sind Orientierungspunkte für die Eingabe von "X".
Haben Sie ein Eigabefeld mit nur einem " X " makiert, werden an dieser Position die Ergebnisse platziert.
Das Zusammensetzen einer Gruppe für eine Aufgabe entspricht dem Ergebnis aus " Akten prüfen ". Sie können bis zu fünfundzwanzig Aufgaben bearbeiten lassen. Es müssen je Aufgabe mindestens drei Mitarbeiter beauftragt werden.
Jedem Mitarbeiter wird ein Hauptbuchstabe zugewiesen, der für alle weiteren Aufgaben gilt.
+Akten verteilen
info-service45009009.jpg
*
*
Die Ergebnisse je Aufgabe und Mitarbeiter sind so berechnet, dass keiner seine Bearbeitungsbuchstaben prüfen muss. Aus der Aufgabenanzahl je Mitarbeiter und Arbeitszeit, wird ein Durchschnittswert der Buchstabenprozente berechnet und erreicht.
info-service45009003.gif info-service45002003.jpg
Arbeitsgruppen

Wochenarbeitszeit minus Bearbeitungszeit gleich Prüfzeit.

info-service45009002.gif
E-Mail Info.
Impressum
info-service45001001.jpg

liste

wer zahlt was

Geschenk-